2013年苏州四年级希望杯数学备战题12
苏州奥数网
2013-01-23 14:11:09
摘要:2013年苏州四年级希望杯数学邀请赛每日一题开始了,苏州奥数网将整理e度名师朝阳老师所出的四年级希望杯每日一练,每天一个知识点,做好四年级希望杯准备工作。(点击查看完整备战试题)
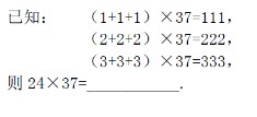
试题:

答案见下一页
摘要:2013年苏州四年级希望杯数学邀请赛每日一题开始了,苏州奥数网将整理e度名师朝阳老师所出的四年级希望杯每日一练,每天一个知识点,做好四年级希望杯准备工作。(点击查看完整备战试题)
试题:

答案见下一页