2013苏州六年级希望杯数学备战题6答案
苏州奥数网
2013-01-04 09:58:04
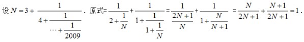
这道题目虽然只是两个数的加法,但是这两个分数比较复杂,而且可以看出来这两个分数中有很大一部分内容是相同的,因此换元法在这道题目中也是可以运用的。

这道题目虽然只是两个数的加法,但是这两个分数比较复杂,而且可以看出来这两个分数中有很大一部分内容是相同的,因此换元法在这道题目中也是可以运用的。
