2013苏州六年级希望杯数学备战题4(2)
苏州奥数网
2012-12-25 17:06:05
六年级希望杯计算答案
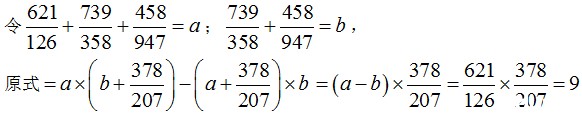
这道题目直接计算显然非常麻烦,因此需要采用一些简便计算的技巧,题目中的数字都是重复出现的,因此可以采用换元的方法进行简化,即将重复出现的这些数用一个字母代替,从而让整个式子变得简单。

六年级希望杯计算答案
这道题目直接计算显然非常麻烦,因此需要采用一些简便计算的技巧,题目中的数字都是重复出现的,因此可以采用换元的方法进行简化,即将重复出现的这些数用一个字母代替,从而让整个式子变得简单。
