2012苏州小升初分班考试每日一练(7月31日)
苏州奥数网整理
2012-08-07 10:29:44
摘要:2012年苏州小升初分班考试时间定于8月中下旬,分班考试关系到学生在初中后的分班,是起跑线上的第一战。苏州奥数网整理分班考试每日一练,供小升初学生们参考学习。以下是7月31日的每日一题。
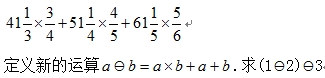
7月31日试题:(计算题)

答案见下一页
点击进入
健美老师分班考试讨论区
点击进入
2013【苏州名校小升初】巡展

