第十六届上海中环杯初赛六年级考纲内容
相信爸妈们都知道上海中环杯是一项难度比较高的思维能力竞赛,而且历年的中环杯一、二等奖获得者,绝大部分在上海小升初时都被重点中学实验班录取,因此中环杯的获奖证书,也成为了进入名校的敲门砖。可是如何才能考好中环杯呢?怎么样才能在牛蛙济济的竞赛道路上快人一步呢?那就先从了解今年中环杯的考纲做起吧!
【变化】
中环杯的初赛统一划分数线啦!这个应该是一个非常振奋人心的消息啦。否则很多家长总是在纠结到底在哪个机构报名会比较合算,在不同的考点之间博弈,现在好了,不管在哪里报名,全市一条线。
今年的官方材料有更新,不再是那本万年不变的红皮思维潜能,新版什么样子,希望尽快看到这本新的书籍,至于这本新书的重要性,相信大家都懂的。
【六年级初赛考纲:】
一、代数类:

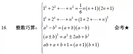
17.小数巧算
18.分数巧算(繁分数连分数会考,循环小数相关的内容会考,百分数会考,分数的估算会考,分数的比较大小会考)★
19.定义新运算
20.比和比例
21.等差数列与等比数列★
22.代数最值(和一定的前提下,两数差越小,乘积越大;乘积一定的前提下,两数差越
小,和越小;利用函数的观点考察最值(比如,s=3+2x其中s表示面积,x是设的
一个未知数,用来表示边长,x<=8,则s的最大值就是x取8的时候))★
二、应用类:
20.盈亏问题
21.植树问题
22.方阵问题
23.平均数问题
24.周期问题
25.用列表法解应用题
26.找规律填数
27.填运算符号解题
28.行程问题★
29.和差倍问题
30.年龄问题
31.鸡兔同笼问题
32.还原问题
33.归一问题
34.会利用一次方程或方程组解应用题★
35.分数应用题(包含:百分数应用题,工程问题,经济问题,时钟问题)★
36.牛吃草问题★
37.比例应用题(包含:浓度问题)
38.不定方程解应用题★
三、几何类:
38.长方形和正方形周长与面积
39.巧求多边形的周长
40.巧求多边形的面积
41.三角形的初步认识
42.平行四边形、梯形的面积公式
43.角度的计算(掌握三角形内角和为这个结论,等腰三角形等边对等角的性质)
44.勾股定理(包括勾股定理逆定理)★
45.面积法求高★
46.等腰直角三角形的面积公式(s=1/4斜边的平方)
47.差不变原理
48.列方程解平面几何
49.构造法解平面几何
50.共边定理★
51.等积变换(包含“一半模型”)★
52.鸟头定理★
53.蝴蝶定理★
54.燕尾定理★
55.圆与扇形★
56.立体几何(表面积与体积)★
57.几何最值(利用代数最值的技巧,处理一些简单的几何最值;将军饮马问题)★
四、数论类:

22.带余除法★
23.位值原理★
24.熟练掌握2,3,4,5,7,8,9,11,13,25,125被整除的数的规律,并且具备自己推导别的数整出
规律的能力(比如自己可以推导出除以37的数的规律)★
25.数字迷★
26.数阵图(含数阵图的最值问题)★
27.数表★
28.位值原理★
29.质数与合数★
30.因数和倍数(因数的个数公式很重要)★
31.质因数分解★
32.最大公约数和最小公倍数★
33.中国剩余定理★
34.整除综合★
35.同余★
36.完全平方数★
37.连续自然数问题★
38.进位制
五、组合类:
31.一笔画
32.几何计数
33.容斥原理
34.奇偶分析
35.枚举★
36.标数法★
37.抽屉原理
38.加乘原理★
39.排列和组合★
40.对应原理计数★
41.递推计数★
42.逻辑推理★
43.操作问题★
44.统筹规划
45.概率★
46.组合最值(论证与构造,极端原理)★
六年级决赛考纲(除了初赛考纲中的内容,新增):
一、代数类:
1.有理数的巧算★
2.绝对值的最值、定值★
3.一元一次方程(含参数、含绝对值、既含参数也含绝对值)★
4.二元一次方程组(含参数、含绝对值、既含参数也含绝对值)★
5.三元一次方程组(含参数、含绝对值)★
6.一元一次不等式(含参数、含绝对值、既含参数也含绝对值)★
7.一元一次不等式组(含参数、含绝对值)★
二、应用类:
1.利用不等式(组)解应用题★
编辑推荐:
第十六届上海中环杯初赛三至九年级考纲
上海第十六届中环杯初赛考前模拟试题详解
上海第16届中环杯初赛考前注意事项
