第十六届上海中环杯初赛五年级考纲内容
相信爸妈们都知道上海中环杯是一项难度比较高的思维能力竞赛,而且历年的中环杯一、二等奖获得者,绝大部分在上海小升初时都被重点中学实验班录取,因此中环杯的获奖证书,也成为了进入名校的敲门砖。可是如何才能考好中环杯呢?怎么样才能在牛蛙济济的竞赛道路上快人一步呢?那就先从了解今年中环杯的考纲做起吧!
【变化】
中环杯的初赛统一划分数线啦!这个应该是一个非常振奋人心的消息啦。否则很多家长总是在纠结到底在哪个机构报名会比较合算,在不同的考点之间博弈,现在好了,不管在哪里报名,全市一条线。
今年的官方材料有更新,不再是那本万年不变的红皮思维潜能,新版什么样子,希望尽快看到这本新的书籍,至于这本新书的重要性,相信大家都懂的。
五年级初赛考纲:
一、代数类:

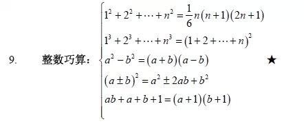
10.小数巧算
11.分数巧算(裂项法不考,繁分数连分数不考,循环小数相关的内容不考,百分数不考,
分数的估算不考,分数的比较大小会简单考察)★
12.定义新运算
13.比和比例
14.等差数列与等比数列★
15.代数最值(和一定的前提下,两数差越小,乘积越大;乘积一定的前提下,两数差越
小,和越小;利用函数的观点考察最值(比如s=3+2x,其中s表示面积,x是设的
一个未知数,用来表示边长,x<=8,则s的最大值就是x取8的时候))★
二、应用类(浓度问题,工程问题,经济问题,时钟问题均不考,这些内容移到6年级的中环杯考):
1.盈亏问题
2.植树问题
3.方阵问题
4.平均数问题
5.周期问题
6.用列表法解应用题
7.找规律填数
8.填运算符号解题
9.行程问题★
10.和差倍问题
11.年龄问题
12.鸡兔同笼问题
13.还原问题
14.归一问题
15.会利用一次方程或方程组解应用题★
16.分数应用题★
17.比例应用题★
18.牛吃草问题★
19.不定方程解应用题★
三、几何类:
15.长方形和正方形周长与面积
16.巧求多边形的周长
17.巧求多边形的面积
18.三角形的初步认识
19.平行四边形、梯形的面积公式
20.角度的计算(掌握三角形内角和为180这个结论,等腰三角形等边对等角的性质)
21.勾股定理(包括勾股定理逆定理)★
22.面积法求高★
23.等腰直角三角形的面积公式(s=1/4斜边的平方)
24.差不变原理
25.列方程解平面几何
26.构造法解平面几何
27.共边定理★
28.等积变换(包含“一半模型”)★
29.三角形的中位线,梯形的中位线★
30.鸟头定理★
31.蝴蝶定理★
32.燕尾定理★
33.平移、旋转、轴对称解平面几何问题★
34.比例模型(金字塔模型和沙漏模型)解平面几何问题★
35.圆与扇形★
36.立体几何(表面积与体积)★
37.几何最值(利用代数最值的技巧,处理一些简单的几何最值;将军饮马问题)★
四、数论类:

3.带余除法★
4.位值原理★
5.熟练掌握被2,3,4,5,7,8,9,11,13,25,125整除的数的规律,并且具备自己推导别的数整出规律的能力(比如自己可以推导出除以37的数的规律)★
6.数字迷(含弃九法)★
7.数阵图(含数阵图的最值问题)★
8.数表★
9.位值原理★
10.质数与合数★
11.因数和倍数(因数的个数公式很重要)★
12.质因数分解★
13.最大公约数和最小公倍数★
14.中国剩余定理★
15.整除综合★
16.同余★
17.完全平方数★
18.连续自然数问题★
19.进位制
五、组合类:
15.一笔画
16.几何计数
17.容斥原理
18.奇偶分析
19.枚举★
20.标数法解决最短路径问题
21.抽屉原理
22.加乘原理★
23.排列和组合★
24.对应原理计数★
25.递推计数★
26.逻辑推理★
27.操作问题★
28.统筹规划
29.概率★
30.组合最值(论证与构造,极端原理)★
编辑推荐:
第十六届上海中环杯初赛三至九年级考纲
上海第十六届中环杯初赛考前模拟试题详解
上海第16届中环杯初赛考前注意事项
