Image Modal

南京
南京奥数网

南京站
奥数网

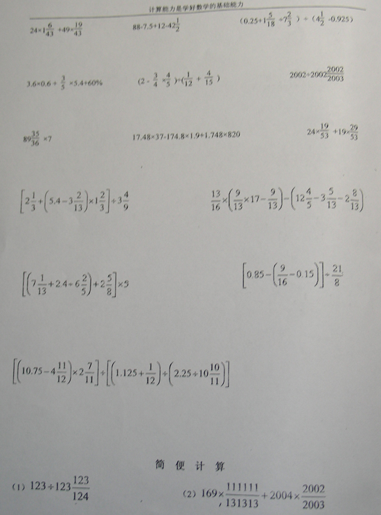
2013级南京市科利华中学初一新生暑假作业(6)

南京奥数网原创 2013-07-30 16:45:55

首页 上一页 下一页 尾页

相关推荐

点击查看更多
重点初中
首页 导航