Image Modal

南京
南京奥数网

南京站
奥数网

"华杯赛"决赛赛前训练模拟题(小学决赛卷十)

南京奥数网 2012-04-17 17:00:42

  "华杯赛"决赛赛前训练模拟题(小学决赛卷十)

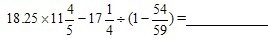
  1、计算

    2、

    ......

    请下载附件:
    1、《"华杯赛"决赛赛前训练模拟题(小学决赛卷十)》
    (共2页,本地下载在线阅读New!
重点初中
首页 导航