2011年南京外国语学校小升初试题
2011南外小升初试卷回忆版,此回忆版由e度网友发起,通过论坛网友的齐心协力,南外小升初试卷基本已全被网友们整理出来。今年数学题一共30题,分开出现,前十题每题一分,中等难度十题 20分,再难点的十题20分
在此,对南外小升初试卷题目进行了整理,供大家查看。
数学题1:
一个等边六边形的房子一角拴着一条狗,六边形变长为1m,栓狗绳长2m,狗绕着房子行走,它能走出多少面积?(圆周率取3)

数学题2:
求数字题,A,B,C是3个不同的自然数;其中
B+C=10;
AB
+CA
___
DBD
问:A,B,C各是什么数
数学3
Mary今年的年龄是弟弟的2倍,爸爸的年龄是Mary的2倍,22年后,爸爸的年龄是弟弟的2倍,问Mary今年几岁?
数学题4:
1 2 3 4 5 6 7=100加入四个加号使等式成立。
数学题5:
老师叫学生们到黑板上写数字,每个学生所写数字是前面所写数之和。老师写下第一个数1,Tom第二个上去,Peter最后一个上去写的是1000,请问Tom不可能写的数字是:
A: 249
B: 299
C: 499
D: 999
数学6
某农场有一种动物,它的数目至少是马的1/5,至多是猪的1/6。马与该动物的数目和为23,问猪有几只?
A)22;
B)23;
C)24;
D)25。
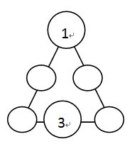
数学题7:
在空白圈内填入5、7、9、11,使三角形各个边之和相等。

数学8
求△ABC的面积

数学题9:
(找规律)
A C F H K M __
数学题10:
有一个复印机,可以按照原文件的200%、125%、100%、75%、50%、10%的比例缩放,复印机的100%、75%、50%这三个缩放按钮坏了,杰克想按原文件大小复印一份相同的文件,每调整按钮一次就要投币一元。问他至少要花多少钱才能打印出来?
