Image Modal

宁波
宁波奥数网

宁波站
奥数网

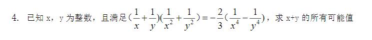
2019宁波小学六年级三位一体模拟卷(四)

网络资源 2019-05-05 14:15:34

2019宁波小学六年级三位一体模拟卷(四)

相关推荐

点击查看更多
重点初中
首页 导航