附录三 历届杯赛竞赛参考答案
宁波e度论坛
2012-10-31 21:40:02
附录三:历届杯赛竞赛参考答案
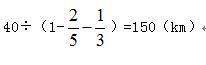
1.快车开完全程需5小时,2小时后行驶全程的
。慢车开完全程需
,2小时后行驶全程的
,全程为
。
2.
3.4
4.130,160,208,240,250,258
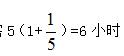
5.40
6.240
7. 2025,3025,9801
8.
9.否

