Image Modal

合肥
合肥奥数网

合肥站
奥数网

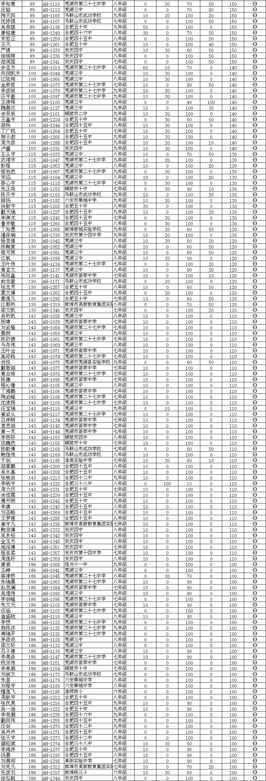
2012NOIP获奖名单:安徽省普及组一等奖名单(2)

合肥奥数网 2012-12-06 10:18:54

首页 上一页 下一页 尾页

相关推荐

点击查看更多
重点初中
首页 导航